Systemy gaśnicze pianowe AX1
Model AX1
Zraszacze AX1 są przeznaczone do stosowania w stałych systemach zraszaczowych, które są wykorzystywane głównie do gaszenia pożarów cieczy łatwopalnych. Są to urządzenia do stosowania w systemach piany ciężkiej, które wprowadzają powietrze do roztworu pianowego, tak aby zapewnić lepsze właściwości piany w zraszaczach non-aspired.
Zraszacze wodno-pianowe są powszechnie stosowane w obszarach wysokiego ryzyka, takich jak rampy załadunkowe, pomieszczenia generatorów diesla, hangary lotnicze, magazyny towarów niebezpiecznych i FPSO.
Zraszacze muszą być używane zgodnie z:
- wykazami, zatwierdzeniami i powiązanymi wymaganiami projektowymi dotyczącymi tryskaczy
- uznanymi normami projektowymi i instalacyjnymi. Na przykład: NFPA, FM, EN, VdS lub LPCB
- najnowszymi wersjami wszystkich obowiązujących dokumentów producenta


Identyfikacja produktu
Niniejszy dokument dotyczy następującego produktu, zwanego dalej „zraszaczem”:
Zraszacz wodno-pianowy AX1 Aspirated:
- Zraszacz wiszący, K3 (43 metryczny)
- Zraszacz stojący, K3 (43 metryczny)
Temperatura znamionowa
Zraszacz wodno-pianowy jest urządzeniem zalewowym otwartym, które nie ma określonej wartości znamionowej temperatury.
Procedura zamawiania
Uwaga! Model AX1 jest dostarczany w opakowaniach zawierających 10 szt.
Aby dokonać zamówienia należy wybrać preferowany typ zraszacza oraz odpowiedni numer zamówieniowy.
| Numer zamówieniowy | |
|---|---|
| AX1-3VB-U | 1/2" NPT |
| AX1-3VB-P | 1/2" NPT |
Wymagania i szczegóły dotyczące certyfikacji cULus
Stojące i wiszące zraszacze wodno-pianowe AX1 posiadają certyfikat cULus (VNWT) do instalacji, zgodnie z informacją zawartą na karcie certyfikatu UL oraz najnowszym wydaniu normy NFPA 13 dot. standardowych zraszaczy natryskowych. Zraszacz wodno-pianowy posiada również certyfikat UL jako część systemu gaśniczego z określonymi środkami pianotwórczymi, zgodnie z informacją zawartą na karcie certyfikatu UL poszczególnych środków pianotwórczych. Certyfikowane komponenty systemu można znaleźć na stronie www.database.UL.com.
Więcej informacji można znaleźć w odpowiednich normach instalacyjnych (np. NFPA, VdS, LPCB itp.) i/lub w odpowiednich arkuszach danych FM Global Property Loss Prevention, takich jak 4-12, pt. „Foam Extinguishing Systems”.
Akcesoria

- 1 - 21475M/B - Klucz standardowy (USA)
- 2 - 23559MB - Klucz standardowy (EMEA/APAC)
Dane techniczne
| Parametr | Wartość |
|---|---|
| Minimalne ciśnienie robocze | 2,07 bara* (30 psi) |
| Rekomendowane ciśnienie robocze | Od 2,07 bara (30 psi) do 4,83 bara (70 psi) |
| Maks. ciśnienie znamionowe (UL) | 12 bar (175 psi) |
| Rozmiar gwintu | 1/2" NPT (15 mm) |
| Współczynnik K | 43** (3 U.S.) |
| Projektowany zakres pokrycia | 9,3 m2 (100 stóp2) |
| Waga |
|
| *Minimalne ciśnienie robocze może się różnić w zależności od środka pianotwórczego i paliwa. **Podany współczynnik K w jednostkach metrycznych dotyczy pomiaru ciśnienia w barach. W przypadku pomiaru ciśnienia w kPa należy podzielić podany współczynnik K w jednostkach metrycznych przez 10,0. |
|
Standard materiałowy
| Element | Materiał |
|---|---|
| Korpus | Stop mosiężny CB491K |
| Deflektor | Brąz fosforowy |
| Mieszadło | Stal nierdzewna |
| Wykończenie | Naturalne |
Oznaczenia i kąty rozpylania
| Oznaczenie | Opis | Rodzaj |
|---|---|---|
| A | Model zraszacza | Viking Model AX1 |
| B | Typ zraszacza | zraszacz wodno-pianowy |
| C | Rok produkcji | 2025 |
| D | Współczynnik K (metryczny) | K3.0 (K43) |
| E | Aprobata | cULus |
| F | Orientacja zraszacza | wiszący lub stojąct |
| Uwaga! Zdjęcia mają charakter wyłącznie poglądowy. Wygląd deflektora zraszacza może się różnić. | ||

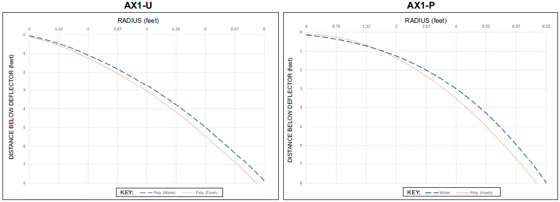
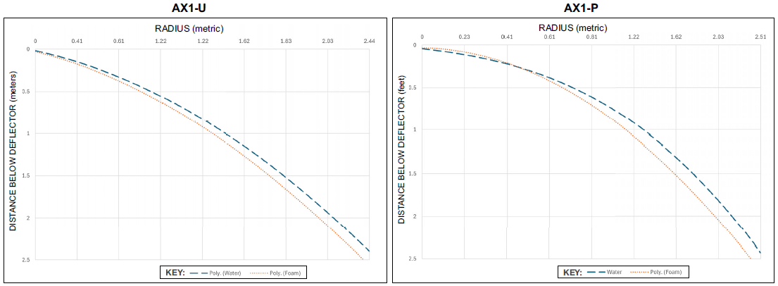
Rozprzestrzenianie się strumienia z tryskacza
- Rozpylanie dla AX1-U i AX1-P - imperialne (w stopach)

- Rozpylanie dla AX1-U i AX1-P - metryczne

Wymiary zraszacza

| Oznaczenie | Wymiar |
|---|---|
| A | 47 mm (1,84") |
| B | 129 mm (5,08") |
| C | 122 mm (4,80") |
| D | 52 mm (2,05") |
ci
Informacje dotyczące certyfikacji UL 162 środka pianotwórczego
Uwaga! Dysze natryskowe Viking mogą posiadać certyfikat UL lub FM dla środków pianotwórczych innych niż od Fomtec.
| 1. Certyfikat UL: Paliwa węglowodorowe - heptan* | ||||||||
|---|---|---|---|---|---|---|---|---|
|
Środek pianotwórczy |
Współczynnik K | Typ zraszacza | Gęstość piany** | Testowane ciśnienie zraszaczy*** | ||||
| U.S. | Metryczny**** | Stojący | Wiszący | GPM/ft2 | LPM/m2 | PSI | Bar | |
| Enviro Fomtec USP 3% | 3.0 | 43 | AX1-U | AX1-P | 0,16 | 6,5 | 30 | 2,07 |
| Enviro Fomtec ARK 3% | 3.0 | 43 | AX1-U | AX1-P | 0,16 | 6,5 | 30 | 2,07 |
|
*Tabela przedstawia certyfikaty dostępne w momencie druku. |
||||||||
| 2. Certyfikat UL: Benzyna *bezołowiowa MOGAS 98 RON)* | ||||||||
|---|---|---|---|---|---|---|---|---|
|
Środek pianotwórczy |
Współczynnik K | Typ zraszacza | Gęstość piany** | Testowane ciśnienie zraszaczy*** | ||||
| U.S. | Metryczny**** | Stojący | Wiszący | GPM/ft2 | LPM/m2 | PSI | Bar | |
| Fomtec Enviro USP 3* | 3.0 | 43 | - | AX1-P | 0,16 | 6,5 | 30 | 2,07 |
| *Tabela przedstawia certyfikaty dostępne w momencie druku. **Podana gęstość jest minimalną gęstością wymaganą zgodnie z normą FM5130 dla systemów gaśniczych z pianą. Gęstości tej nie można zmniejszyć. ***Podane ciśnienie jest minimalnym ciśnieniem rozruchowym wymaganym dla zraszacza. Jednak minimalna gęstość ma pierwszeństwo przed minimalnym ciśnieniem rozruchowym (w zależności od odstępu między głowicami) i nie można jej zmniejszyć. ****Podany współczynnik K w systemie metrycznym stosuje się w przypadku pomiaru ciśnienia w barach. W przypadku pomiaru ciśnienia w kPa należy podzielić podany współczynnik K w systemie metrycznm przez 10,0. |
||||||||
| 3. Certyfikat UL: Alkohole - Alkohol izopropylowy (IPA)* | ||||||||
|---|---|---|---|---|---|---|---|---|
|
Środek pianotwórczy |
Współczynnik K | Typ zraszacza | Gęstość piany** | Testowane ciśnienie zraszaczy*** | ||||
| U.S. | Metryczny**** | Stojący | Wiszący | GPM/ft2 | LPM/m2 | PSI | Bar | |
|
Fomtec Enviro ARK 3* |
3.0 | 43 | - | AX1-P | 0,16 | 6,5 | 30 | 2,07 |
| 3.0 | 43 | AX1-U | - | 0,18 | 7,3 | 36 | 2,49 | |
| *Tabela przedstawia certyfikaty dostępne w momencie druku. **Podana gęstość jest minimalną gęstością wymaganą zgodnie z normą FM5130 dla systemów gaśniczych z pianą. Gęstości tej nie można zmniejszyć. ***Podane ciśnienie jest minimalnym ciśnieniem rozruchowym wymaganym dla zraszacza. Jednak minimalna gęstość ma pierwszeństwo przed minimalnym ciśnieniem rozruchowym (w zależności od odstępu między głowicami) i nie można jej zmniejszyć. ****Podany współczynnik K w systemie metrycznym stosuje się w przypadku pomiaru ciśnienia w barach. W przypadku pomiaru ciśnienia w kPa należy podzielić podany współczynnik K w systemie metrycznm przez 10,0. |
||||||||
| 4. Certyfikat UL: Ketony - Aceton* | ||||||||
|---|---|---|---|---|---|---|---|---|
|
Środek pianotwórczy |
Współczynnik K | Typ zraszacza | Gęstość piany** | Testowane ciśnienie zraszaczy*** | ||||
| U.S. | Metryczny**** | Stojący | Wiszący | GPM/ft2 | LPM/m2 | PSI | Bar | |
|
Fomtec Enviro USP 3* |
3.0 | 43 | - | AX1-P | 0,16 | 6,5 | 30 | 2,07 |
| 3.0 | 43 | AX1-U | - | 0,18 | 7,3 | 36 | 2,49 | |
| *Tabela przedstawia certyfikaty dostępne w momencie druku. **Podana gęstość jest minimalną gęstością wymaganą zgodnie z normą FM5130 dla systemów gaśniczych z pianą. Gęstości tej nie można zmniejszyć. ***Podane ciśnienie jest minimalnym ciśnieniem rozruchowym wymaganym dla zraszacza. Jednak minimalna gęstość ma pierwszeństwo przed minimalnym ciśnieniem rozruchowym (w zależności od odstępu między głowicami) i nie można jej zmniejszyć. ****Podany współczynnik K w systemie metrycznym stosuje się w przypadku pomiaru ciśnienia w barach. W przypadku pomiaru ciśnienia w kPa należy podzielić podany współczynnik K w systemie metrycznm przez 10,0. |
||||||||
| 5. Certyfikat UL: Etanol* | ||||||||
|---|---|---|---|---|---|---|---|---|
|
Środek pianotwórczy |
Współczynnik K | Typ zraszacza | Gęstość piany** | Testowane ciśnienie zraszaczy*** | ||||
| U.S. | Metryczny**** | Stojący | Wiszący | GPM/ft2 | LPM/m2 | PSI | Bar | |
| Fomtec Enviro ARK 3* | 3.0 | 43 | AX1-U | AX1-P | 0,16 | 6,5 | 30 | 2,07 |
| *Tabela przedstawia certyfikaty dostępne w momencie druku. **Podana gęstość jest minimalną gęstością wymaganą zgodnie z normą FM5130 dla systemów gaśniczych z pianą. Gęstości tej nie można zmniejszyć. ***Podane ciśnienie jest minimalnym ciśnieniem rozruchowym wymaganym dla zraszacza. Jednak minimalna gęstość ma pierwszeństwo przed minimalnym ciśnieniem rozruchowym (w zależności od odstępu między głowicami) i nie można jej zmniejszyć. ****Podany współczynnik K w systemie metrycznym stosuje się w przypadku pomiaru ciśnienia w barach. W przypadku pomiaru ciśnienia w kPa należy podzielić podany współczynnik K w systemie metrycznm przez 10,0. |
||||||||
| 6. Certyfikat UL: Metanol* | ||||||||
|---|---|---|---|---|---|---|---|---|
|
Środek pianotwórczy |
Współczynnik K | Typ zraszacza | Gęstość piany** | Testowane ciśnienie zraszaczy*** | ||||
| U.S. | Metryczny**** | Stojący | Wiszący | GPM/ft2 | LPM/m2 | PSI | Bar | |
| Fomtec Enviro ARK 3* | 3.0 | 43 | AX1-U | AX1-P | 0,16 | 6,5 | 30 | 2,07 |
| *Tabela przedstawia certyfikaty dostępne w momencie druku. **Podana gęstość jest minimalną gęstością wymaganą zgodnie z normą FM5130 dla systemów gaśniczych z pianą. Gęstości tej nie można zmniejszyć. ***Podane ciśnienie jest minimalnym ciśnieniem rozruchowym wymaganym dla zraszacza. Jednak minimalna gęstość ma pierwszeństwo przed minimalnym ciśnieniem rozruchowym (w zależności od odstępu między głowicami) i nie można jej zmniejszyć. ****Podany współczynnik K w systemie metrycznym stosuje się w przypadku pomiaru ciśnienia w barach. W przypadku pomiaru ciśnienia w kPa należy podzielić podany współczynnik K w systemie metrycznm przez 10,0. |
||||||||
| 7. Certyfikat UL: Estry - Octan n-butylu* | ||||||||
|---|---|---|---|---|---|---|---|---|
|
Środek pianotwórczy |
Współczynnik K | Typ zraszacza | Gęstość piany** | Testowane ciśnienie zraszaczy*** | ||||
| U.S. | Metryczny**** | Stojący | Wiszący | GPM/ft2 | LPM/m2 | PSI | Bar | |
| Fomtec Enviro ARK 3* | 3.0 | 43 | - | AX1-P | 0,16 | 6,5 | 30 | 2,07 |
| *Tabela przedstawia certyfikaty dostępne w momencie druku. **Podana gęstość jest minimalną gęstością wymaganą zgodnie z normą FM5130 dla systemów gaśniczych z pianą. Gęstości tej nie można zmniejszyć. ***Podane ciśnienie jest minimalnym ciśnieniem rozruchowym wymaganym dla zraszacza. Jednak minimalna gęstość ma pierwszeństwo przed minimalnym ciśnieniem rozruchowym (w zależności od odstępu między głowicami) i nie można jej zmniejszyć. ****Podany współczynnik K w systemie metrycznym stosuje się w przypadku pomiaru ciśnienia w barach. W przypadku pomiaru ciśnienia w kPa należy podzielić podany współczynnik K w systemie metrycznm przez 10,0. |
||||||||
| 8. Certyfikat UL: Jet A-1* | ||||||||
|---|---|---|---|---|---|---|---|---|
|
Środek pianotwórczy |
Współczynnik K | Typ zraszacza | Gęstość piany** | Testowane ciśnienie zraszaczy*** | ||||
| U.S. | Metryczny**** | Stojący | Wiszący | GPM/ft2 | LPM/m2 | PSI | Bar | |
| Fomtec Enviro USP 3* | 3.0 | 43 | AX1-U | AX1-P | 0,16 | 6,5 | 30 | 2,07 |
| *Tabela przedstawia certyfikaty dostępne w momencie druku. **Podana gęstość jest minimalną gęstością wymaganą zgodnie z normą FM5130 dla systemów gaśniczych z pianą. Gęstości tej nie można zmniejszyć. ***Podane ciśnienie jest minimalnym ciśnieniem rozruchowym wymaganym dla zraszacza. Jednak minimalna gęstość ma pierwszeństwo przed minimalnym ciśnieniem rozruchowym (w zależności od odstępu między głowicami) i nie można jej zmniejszyć. ****Podany współczynnik K w systemie metrycznym stosuje się w przypadku pomiaru ciśnienia w barach. W przypadku pomiaru ciśnienia w kPa należy podzielić podany współczynnik K w systemie metrycznm przez 10,0. |
||||||||